• Zoom In
  • Search
  • Search
2016 Annual Report
  • Print
  • Print
  • PrintPrint
  • Clickable Index
  • Clickable IndexClickable Index
  • Thumbnails
  • ThumbnailsThumbnails
  • Help
  • HelpHelp
   ...Previous
Continue...   
WARNING: JavaScript is disabled. CLICK HERE for help.
  • Go to previous page
  • Go to previous page
Page 75 of 183
  • Go to next page
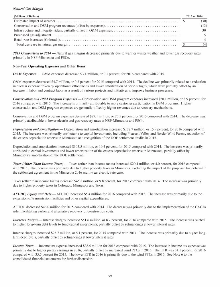
  • Go to next page